猪价有变!有涨有跌!附: 4月13日 价格
大家好今天是4月12日,下面给大家带来今天的猪价汇总和分析,据统计,今天全国标猪平均价为8.70元每公斤,同比昨天微幅下跌,今天全国猪价窄幅调整,稳定地区增加。下跌地区有所减少,个别猪企个别体重猪有小幅上调现象!
分地区来看,今天东北地区大部稳定,今天黑龙江哈尔滨大江牡丹江鑫鹏明水屠企稳定,吉林佳龙辽宁星源稳定,沈阳千喜鹤下跌,东北大北农东北新希望稳定,东北牧原上涨。今天黑龙江主流价4.3-4.5元,个别低价4.2元,巴彦4.4元,大圈高价4.5元,吉林主流价4.3-4.5元,辽宁主流价4.3-4.6元,大连本溪等地个别高价4.7元!

华北地区稳定为主,个别企业涨跌调整,河北温氏石家庄深港涨0.1,山西晋润稳定。今天河北主流价4.4-4.6元,山西主流价4.2-4.5元,华北个别高价4.7元!

华东地区大部稳定,大哥地区小幅涨跌,今天山东新希望六和稳定,
山东临沂金锣下跌,江苏安徽温氏稳定,江苏安徽牧原稳定,安徽杨翔下跌,浙江杨翔稳定,福建温氏下跌,当地散户情绪一般,规模猪企看价格调整出栏量,今天山东主流价4.4-4.7元,江苏安徽主流价4.5-4.6元,浙江主流价4.5-4.7元!

华中地区窄幅调整,河南牧原稳定,湖北个别企业小幅上调,江西继续下跌。湖南基本稳定,今天河南主流价4.3-4.6元,两湖江西4.3-4.5元左右!

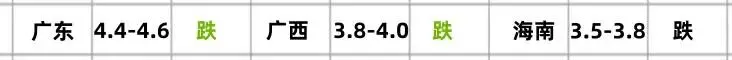
南西南地区继续下跌,今天广东温氏跌0.1元,广西温氏跌0.1元,西南地区大部偏弱,市场消费低迷,养殖端出栏正常,今天广东主流价4.4-4.6元,西南地区主流价4.1-4.4元


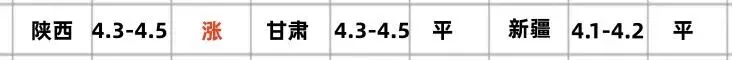
西北地区稳中有涨,陕西牧原双胞胎新希望上涨0.1元,甘肃新疆总体稳定,西北地区主流价4.1-4.5元!

总体看全国市场仍然稳中偏弱,特别是南方市场表现低迷,东北地区受二育补栏带动,牧原逆势上调,但是幅度有限,从规模猪企出栏量来看。仍然维持较高状态,但是散户多地挺价心理在增强,预计明天全国猪价或继续稳中微调!但是幅度有限。
以上数据来自:猪易网

